Saudi Arabia Flag
موقع حكومي رسمي تابع لحكومة المملكة العربية السعودية
Link Icon
روابط المواقع الالكترونية الرسمية السعودية تنتهي بـgov.sa

جميع روابط المواقع الرسمية التابعة للجهات الحكومية في المملكة العربيةالسعودية تنتهي بـ .gov.sa

Password Icon
المواقع الالكترونية الحكومية تستخدم بروتوكولHTTPSللتشفير و الأمان.

المواقع الالكترونية الآمنة في المملكة العربية السعودية تستخدم بروتوكولHTTPS للتشفير.

Dga Logo

مسجل لدى هيئة الحكومة الرقمية برقم :

20240512626

تقرير المنهجية والجودة لإحصاءات الرقم القياسي لأسعار العقارات

تحديث المنهجية والجودة

آخر تحديث للمنهجية والجودة 

 2025/04/14

 

العرض الإحصائي

وصف البيانات

الرقم القياسي لأسعار العقارات هو مؤشر اقتصادي يقيس التغيرات في أسعار العقارات السكنية والتجارية والأراضي الزراعية مع مرور الزمن. يُستخدم المؤشر كأداة لمراقبة حركة أسعار العقارات في السوق، ويعكس التغيرات النسبية في أسعار مختلف أنواع العقارات مقارنة بفترة الأساس. ويشكل الرقم أداة رئيسية لصناع القرار في السياسات المالية والنقدية.
الرقم القياسي لأسعار العقارات هو منتج يتم تنفيذه لجمع البيانات حول الخصائص الرئيسة على النحو التالي:
•    الرقم القياسي لأسعار العقارات.
•    سلاسل الأرقام القياسية والتغيرات السنوية والربعية حسب القطاع ونوع العقارات.  
•    سلاسل الأرقام القياسية والتغيرات السنوية والربعية حسب المنطقة الإدارية.

 

التصنيفات

تُطَبق التصنيفات التالية في الرقم القياسي لأسعار العقارات.
تصنيف الأصناف العقارية:
ثلاث قطاعات وثمانية أصناف عقارية وهي:
•    القطاع السكني: قطعة أرض سكنية، وفيلا، وشقة، ودور.
•    القطاع التجاري: قطعة أرض تجارية، وعمارة، ومعرض/ محل.
•    القطاع الزراعي: أرض زراعية.
تصنيف المناطق الإدارية:
13 منطقة إدارية على مستوى المملكة العربية السعودية.
التصنيفات متاحة على موقع الهيئة العامة للإحصاء: www.stats.gov.sa

 

التغطية القطاعية

يغطي الرقم القياسي لأسعار العقارات القطاعات الاقتصادية الرئيسة التالية:
•    السكني.
•    التجاري.
•    الزراعي.

 

التعاريف والمفاهيم الإحصائية

المصطلحات والمفاهيم للرقم القياسي لأسعار العقارات:
•    الرقم القياسي:
يعرف الرقم القياسي بأنه رقم نسبي يقيس التغير في ظاهرة واحدة أو أكثر، ويتم الحصول عليه بنسبة قيمة الظاهرة في فترة المقارنة إلى قيمتها في فترة الأساس.
•    الرقم القياسي لأسعار العقارات:
هو أداة إحصائية لقياس التغير النسبي في أسعار العقارات بين فترتين زمنيتين.
•    العقار:
الأصول الثابتة المتمثلة في الأراضي والمباني.
•    الأهمية النسبية للصنف العقاري:
هي نسبة إجمالي قيمة الصفقات للصنف العقاري إلى الإجمالي الكلي لقيم الصفقات لجميع الأصناف العقارية في سنة الأساس.
•    سنة الأساس:
هي السنة أو الفترة التي تنسب أسعار سنة المقارنة أو فترة المقارنة بأسعارها، ويراعى عند اختيار سنة الأساس أن تكون فترة عادية تتميز بالاستقرار، وبُعدها عن الظروف الطارئة والمفاجئة، مثل: الأزمات الاقتصادية والحروب، وأن تكون قريبة نسبيًّا من فترة المقارنة.

 

الوحدة الإحصائية

الوحدة الإحصائية في الرقم القياسي لأسعار العقارات هي الصفقة العقارية المسجلة.

 

المجتمع الإحصائي

المجتمع الإحصائي للرقم القياسي لأسعار العقارات هي الصفقات العقارية المسجلة في المملكة العربية السعودية.

 

المنطقة المرجعية

يغطي الرقم القياسي لأسعار العقارات الصفقات العقارية المسجلة في جميع المناطق الإدارية في المملكة العربية السعودية والتي يبلغ عددها 13 منطقة.

 

التغطية الزمنية

تغطي بيانات المنتج الصفقات العقارية من عام 2014م وحتى الربع الحالي من عام 2025م.

 

فترة الأساس

فترة الأساس المستخدم لحساب الرقم القياسي لأسعار العقارات هو 2023م.

 

وحدة القياس

يتم حساب المؤشرات كتغيرات ربعية وسنوية مثل حقق الرقم القياسي ارتفاع بنسبه 4.0% على أساس ربعي.

 

الفترة المرجعية

•    تستند بيانات المؤشرات الربعية إلى بيانات الربع السابق مقارنة بسنة الأساس.
•    تستند بيانات المؤشرات السنوية إلى بيانات السنة السابقة مقارنة بسنة الأساس.

 

السرية

السرية - السياسة

تنفيذًا لما نصَّ عليه المرسوم الملكي الكريم رقم (23) وتاريخ 07-12-1397هـ فإنَّ الهيئة العامة للإحصاء ملتزمةٌ بالسرية التامة لكافة البيانات المستوفاة، وعدم استخدامها إلا في الأغراض الإحصائية فقط.
لذلك فإن البيانات محمية في خوادم البيانات الخاصة بالهيئة العامة للإحصاء.

 

السرية – معالجة البيانات

يتم عرض البيانات في جداول مناسبة لتسهيل عملية تلخيصها وفهمها واستنتاج النتائج منها ومقارنتها بغيرها من البيانات، والخروج منها بمدلولات إحصائية عن مجتمع الدراسة، كما يسهل الرجوع إليها في صورة جداول دون الاطلاع على البيانات الحساسة أو السرية مما يخل بمبدأ الحفاظ على سرية البيانات الإحصائية.

 

سياسة النشر

التقويم الإحصائي

تم إدراج الرقم القياسي لأسعار العقارات بالتقويم الإحصائي.

 

إمكانية الوصول للتقويم الإحصائي

التقويم الإحصائي متاح على: https://www.stats.gov.sa/statistical-calendar-releases

 

إمكانية الوصول للمستخدمين

يتمثل أحد أهداف الهيئة العامة للإحصاء في تلبية احتياجات عملائها بشكل أفضل، لذا فهي تزودهم على الفور بنتائج النشرة بمجرد صدور نشرة نتائج الرقم القياسي لأسعار العقار.
كما تتلقى أسئلة واستفسارات العملاء حول النشرة ونتائجها عبر قنوات الاتصال المختلفة، مثل:
•    الموقع الرسمي للهيئة:  www.stats.gov.sa
•    عنوان البريد الإلكتروني الرسمي للهيئة:  info@stats.gov.sa
•    عنوان البريد الإلكتروني لدعم العملاء:  info@stats.gov.sa
•    الزيارات الرسمية للمقر الرئيس للهيئة بالرياض أو أحد فروعها بالمملكة العربية السعودية.
•    الخطابات الرسمية.
•    الاتصال على الرقم الموحَّد: (199009).

 

دورية النشر

ربعية.

 

إمكانية الوصول والوضوح

الأخبار الصحفية

الإعلانات لكل نشرة متاحة في التقويم الإحصائي كما هو مذكور في 7.2. إمكانية الوصول للتقويم الإحصائي، كما يمكن الاطلاع على الأخبار الصحفية على موقع الهيئة العامة للإحصاء: https://stats.gov.sa/news

 

النشرات

تٌصدر الهيئة العامة للإحصاء منشورات وتقارير الرقم القياسي لأسعار العقارات بشكل منتظم ضمن خطة نشر معدة مسبقًا، ويتم نشرها على موقع الهيئة على الإنترنت. تحرص الهيئة على نشر نتائجها بطريقة تخدم جميع المستخدمين باختلاف أنواعهم، بما في ذلك النشرات بصيغ مختلفة والتي تحتوي على (جداول نشر ورسوم بيانية للبيانات والمؤشرات، وتقرير المنهجية والجودة، والاستمارات المستخدمة) باللغتين الإنجليزية والعربية.
نتائج الرقم القياسي لأسعار العقارات متاحة على:
https://www.stats.gov.sa/statistics

 

قاعدة بيانات على الإنترنت

يتم نشر البيانات في قاعدة البيانات الإحصائية على الرابط:
GASTAT (stats.gov.sa)

 

إمكانية الوصول للبيانات الدقيقة 

غير متاح.

 

أخرى

لا يوجد.

 

توثيق المنهجية

تستند المفاهيم والتعاريف والقضايا والتصنيفات للرقم القياسي لأسعار العقارات إلى المعايير الدولية.
وتتم الموائمة مع:

 

توثيق الجودة

يغطي توثيق الجودة توثيق الأساليب والمعايير لتقييم وقياس ومراقبة جودة العمليات والمخرجات الإحصائية، والتي تستند إلى مبادئ ومعايير الجودة مثل: الملاءمة، والدقة، والموثوقية، والالتزام بالوقت، ودقة المواعيد، وإمكانية الوصول، والوضوح، وقابلية المقارنة، والاتساق.

 

إدارة الجودة

ضمان الجودة

تحرص الهيئة العامة للإحصاء على مراعاة المبادئ التالية: الحيادية، أن يكون المنتج الإحصائي مُوجهًا للمستخدم، جودة العمليات والمخرجات، فعالية العمليات الإحصائية، تقليل عبء العمل على المستجيبين. 
يتم التحقق من صحة البيانات من خلال إجراءات وضوابط الجودة التي يتم تنفيذها خلال سير العملية في مراحل مختلفة مثل: (إدخال البيانات، وجمع البيانات، وغيرها من الضوابط النهائية).

 

تقييم الجودة

تقوم الهيئة العامة للإحصاء بتنفيذ جميع الأنشطة الإحصائية وفقًا للنموذج الوطني (النموذج العام لإجراءات العمل الإحصائية GSBPM)، ويتم خلال مرحلة التقييم الشامل والتي تٌعد المرحلة الأخيرة من مراحل النموذج العام لإجراءات العمل الإحصائية GSBPM باستخدام المعلومات التي تم جمعها في كل مرحلة أو عملية فرعية لإعداد تقرير التقييم الذي يلخص جميع التحديات المتعلقة بجودة كل عملية إحصائية ويُعد كمدخل لإجراءات التحسين والتطوير.

 

الملاءمة

احتياجات المستخدمين 

المستخدمين الخارجين والمستفيدين بشكل كبير من بيانات الرقم القياسي لأسعار العقارات، ومنها:
•    الجهات الحكومية.
•    المنظمات الإقليمية والدولية.
•    المؤسسات البحثية.
•    الإعلام.
•    الأفراد.
أبرز الجهات الحكومية التي تستفيد من المؤشر:

البنك المركزي. الرقم القياسي لأسعار العقارات. 
الهيئة العامة للعقار.
وزارة الاقتصاد والتخطيط.
وزارة المالية

رضا المستخدمين 

يتم قياس رضى المستفيدين من خلال منصات التواصل الرسمية التي يتم عن طريقها نشر النتائج.

 

الاكتمال

تستند بيانات الرقم القياسي لأسعار العقارات إلى مصادر رئيسية من أجل توفير معلومات شاملة عن الصفقات العقارية وهي الهيئة العامة للعقار ووزارة العدل، وتم تطبيق كافة الإجراءات لضمان اكتمال البيانات لتوفير الإحصاءات المطلوبة.

 

الدقة والموثوقية

نظرة عامة للدقة

تتم مراجعة ومطابقة البيانات للتأكد من صحتها ودقتها بطريقة تتناسب وطبيعة تلك البيانات؛ بهدف إضفاء جودة ودقة على إحصاءات النشرة. 
ومن ذلك أن يتم تطبيق قواعد التنبيه والمنع وقواعد التصحيح بعد عملية جمع البيانات، ومقارنة البيانات للدورة الحالية للنشرة مع بيانات الدورة السابقة؛ وذلك للتحقق من سلامة البيانات واتساقها تمهيدًا لعملية المعالجة، واستخراج النتائج ومراجعتها يتم فحص البيانات مع السنوات السابقة لتحديد أي تغييرات مهمة في البيانات.

 

الالتزام بالوقت ودقة المواعيد

الالتزام بالوقت

تحرص الهيئة العامة للإحصاء على تطبيق المعايير الدولية المتعارف عليها فيما يتعلق بإعلان وتوضيح وقت نشر الإحصاءات في الموقع الإلكتروني الرسمي من خلال التقويم الإحصائي، وكذلك فيما يتعلق بالالتزام بالوقت المعلن للنشر، وفي حال التأخر سيتم التحديث بذلك.

 

دقة المواعيد

يتم النشر وفقًا لتواريخ النشر بالتقويم الإحصائي المنشور للرقم القياسي لأسعار العقارات في صفحة الويب الخاصة بالهيئة العامة للإحصاء.
البيانات متاحة في الوقت المتوقع، كما هو مجدول في التقويم الإحصائي، في حال تأخر النشر، فسيتم تقديم الأسباب.
البيانات متاحة في الوقت المتوقع، كما هو مجدول في التقويم الإحصائي، في حال تأخر النشر، فسيتم تقديم الأسباب.

 

الاتساق وإمكانية المقارنة

إمكانية المقارنة - جغرافيا

البيانات قابلة للمقارنة جغرافيًّا بشكل كامل حيث إن البيانات المستخدمة تغطي جميع مناطق المملكة العربية السعودية.

 

إمكانية المقارنة – بمرور الوقت 

بدأ المنتج بنشر النتائج من عام 2014م وتم تحديث سنة الأساس لعام 2023م للحصول على تمثيل أكبر للسوق العقاري.

 

الاتساق – عبر النطاق 

لا ينطبق.

الاتساق – الإحصاءات السنوية ودون السنوية 

متسقة.

الاتساق -الحسابات القومية 

البيانات متسقة مع الحسابات القومية.

 

الاتساق - داخليا 

تقديرات الرقم القياسي لأسعار العقارات للفترة المرجعية لها اتساق داخلي كامل، حيث إنها تستند جميعها إلى نفس مجموعة البيانات الدقيقة، ويتم حسابها باستخدام نفس طرق التقدير.

 

مراجعة البيانات

مراجعة البيانات - السياسة

يتم مراجعة البيانات من قبل الفريق المختص والرجوع للجهة المصدرية في حال وجود أي استفسار.

 

مراجعة البيانات - الممارسة

يتم مراجعة البيانات من قبل الفريق المختص والرجوع للجهة المصدرية في حال وجود أي استفسار.

 

المعالجة الإحصائية

مصدر البيانات

تعتمد بيانات الرقم القياسي لأسعار العقارات على:
•    الصفقات العقارية من الهيئة العامة للعقار ووزارة العدل. 
•    البيانات التكميلية لمعالجة التصنيف العقاري في البيانات والتي تشمل:
-  مصدر داخلي: بيانات التعداد والتجمعات السكنية.
-  مصدر خارجي: بيانات قطع الأراضي وصور الأقمار الاصطناعية.

 

دورية جمع البيانات 

يتم الحصول على بيانات الصفقات العقارية من مصادرها بشكل أسبوعي. 

 

جمع البيانات

يتم جمع البيانات بالتنسيق مع إدارات الهيئة ذات العلاقة للحصول على البيانات السجلية المتمثلة بالصفقات العقارية من الهيئة العامة للعقار ووزارة العدل.
ويتم حفظها على قواعد البيانات في الهيئة، وذلك بعد عمليات التدقيق والمراجعة وفق الاساليب الإحصائية ومعايير الجودة المعتمدة، والرجوع لمصدر البيانات في حال وجود ملاحظات على البيانات.

 

التحقق من صحة البيانات

تتم مراجعة البيانات ومطابقتها وتبويبها وعمل المعالجات الأولية للتأكد من دقتها ورفع جودة الإحصائيات المقدمة وذلك من خلال تطبيق المعالجات التالية: 
•    تطبيق قواعد الأخطاء والتصحيح.
•    معالجة القطاع العقاري عن طريق معلومة عرض الشارع.
•    معالجة الصنف العقاري عن طريق الربط بالبيانات التكميلية ونموذج الذكاء الاصطناعي الجغرافي والربط ببيانات التعداد.
كما يتم مقارنة بيانات السنة الحالية للنشر مع بيانات العام السابق للتأكد من سلامتها واتساقها بعد ذلك يتم تخزين جميع المخرجات وتحميلها على قاعدة البيانات تمهيدا لاستخراج النتائج من قبل المختصين وذلك باستخدام التقنيات الحديثة والبرمجيات المصممة لهذا الغرض.

 

تجميع البيانات

بعد تطبيق عمليات التحقق من صحة البيانات ومعالجتها. يتم تجميع البيانات من خلال تقنيات التحليل الإحصائي مثل برنامج R وتطبيق الإجراءات التالية:
ترميز البيانات:
في الرقم القياسي لأسعار العقارات، يتم ترميز المعلومات داخليا من خلال عملية آلية، والتي يتم مراجعتها من قبل فريق مخصص.
تحرير البيانات:
يقوم المختصون في الهيئة العامة للإحصاء بمعالجة وتحليل البيانات في هذه المرحلة، وقد استندت هذه الخطوة إلى التدابير التالية:
•    فرز البيانات وترتيبها في مجموعات أو فئات مختلفة بترتيب تسلسلي.
•    تلخيص البيانات التفصيلية إلى نقاط أو بيانات رئيسة.
•    الجمع بين العديد من أجزاء البيانات وجعلها مترابطة.
•    معالجة البيانات غير المكتملة أو الناقصة.
•    معالجة البيانات غير المنطقية.
•    تحويل البيانات إلى بيانات ذات دلالة إحصائية.
•    تنظيم البيانات وعرضها وتفسيرها.
طرق احتساب المؤشرات الإحصائية: 
اعتمدت الهيئة العامة للإحصاء على المنهجية الطبقية في ضبط التجانس السعري للعقار واعتمدت معادلة لاسبير الهندسية في تركيب وحساب الرقم القياسي لأسعار العقارات وذلك بحسب المعايير الدولية في حساب المؤشرات الرئيسية لـ(الرقم القياسي لأسعار العقارات) وذلك على النحو التالي:
•    سنة الأساس:
هي سنة 2023م ويتم تحديثها بشكل دوري، ويتم في هذه المرحلة تحديث الأهمية الوزنية بحسب متوسط سعر المتر المربع الواحد لكل بند ويشمل الموقع ونوع العقار.
•    المنهجية الطبقية:
يتم بناء الطبقات من أدنى طبقة إلى أعلى طبقة وذلك باعتبار. 
أولاً، تعريف الموقع على أنه: منطقة، ومدينة، وحي، أو حتى دون الحي (أو مزيج من الأحياء إذا لزم الأمر).
ثانياً، اعتبار تصنيف العقار إلى أحد أنواع الأصناف المشمولة في مؤشر الرقم القياسي لأسعار العقارات، مثل الأرض، والفيلا، والشقة، إلخ.
أخيرا، يتم تعريف الطبقة على أنها نوع العقار في الموقع المحدد. ولإدارة التوازن بين التجانس وحجم العينة في الطبقة، نقوم بتحديد حد أدنى لعدد الصفقات داخل كل طبقة. هذا يضمن أن كل طبقة تحتوي على عدد كافٍ من الصفقات لتكون ذات دلالة إحصائية، مع الحفاظ على قدر كافٍ من التجانس لتعكس بدقة اتجاهات التسعير في السوق للعقارات المماثلة.
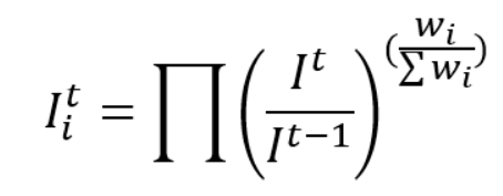
•    معادلة لاسبير الهندسية:

 

حيث تفاصيل المعادلة يتم تعريفها كالتالي:
 I: هو المؤشر في كل مستوى من مستويات التصنيف.
t : هو الفترة (الربع).
الأس: هو الوزن للبند / مجموع الأوزان لكل مستوى.
بعد ذلك يتم تجميع المؤشر على المستويات التفصيلية لحساب المؤشرات:
•    الأهمية النسبية حسب القطاع ونوع العقار.
•    الأرقام القياسية ومعدلات التغير حسب القطاع ونوع العقار للربع.
•    سلاسل الأرقام القياسية والتغيرات السنوية والربعية حسب القطاع ونوع العقارات على أساس ربعي وسنوي.
•    سلاسل الأرقام القياسية والتغيرات السنوية والربعية حسب المنطقة الإدارية على أساس ربعي وسنوي.

 

التعديل

لا ينطبق.

 

الملاحظات

أهم التحديثات المطبقة:
•    تحديث منهجية جمع ومعالجة البيانات بالاستناد إلى بيانات تكميلية وتقنيات الذكاء الاصطناعي. 
•    تحديث سنة الأساس إلى 2023م.
•    توسيع التغطية الجغرافية لضمان أفضل تمثيل للمناطق الإدارية.
•    مراجعة التصنيف العقاري في السلة العقارية.
حيث تم تطبيق هذه التحديثات على البيانات من عام 2021م.